Understanding the impact of pre-transplant social determinants of health disparities on graft and patient survival: A single-center retrospective review
Leandra Bitterfeld1, Jorge Sanchez-Garcia2, Catalina Jaramillo3.
1Solid Organ Transplant, Intermountain Primary Children's Hospital, Salt Lake City, UT, United States; 2Abdominal Transplant, Intermountain Health, Salt Lake City, UT, United States; 3Division of Pediatric Gastroenterology, Hepatology, and Nutrition, University of Utah Health, Salt Lake City, UT, United States
Introduction: Social determinants of health (SDOH) are widely recognized to play an important role in health and wellbeing, but their impact on graft and patient survival among pediatric liver transplant recipients is not well understand. We investigated the role of SDOH on patient and graft survival among pediatric liver transplant recipients.
Methods: This was a single center retrospective review of primary liver transplant recipients from 1996-2022. Data was gathered from UNOS and the Childhood Opportunity Index (COI). SDOH were guided by the Health People 2030 model and operationalized as race, insurance type, distance from the transplant center, and national COI classification.
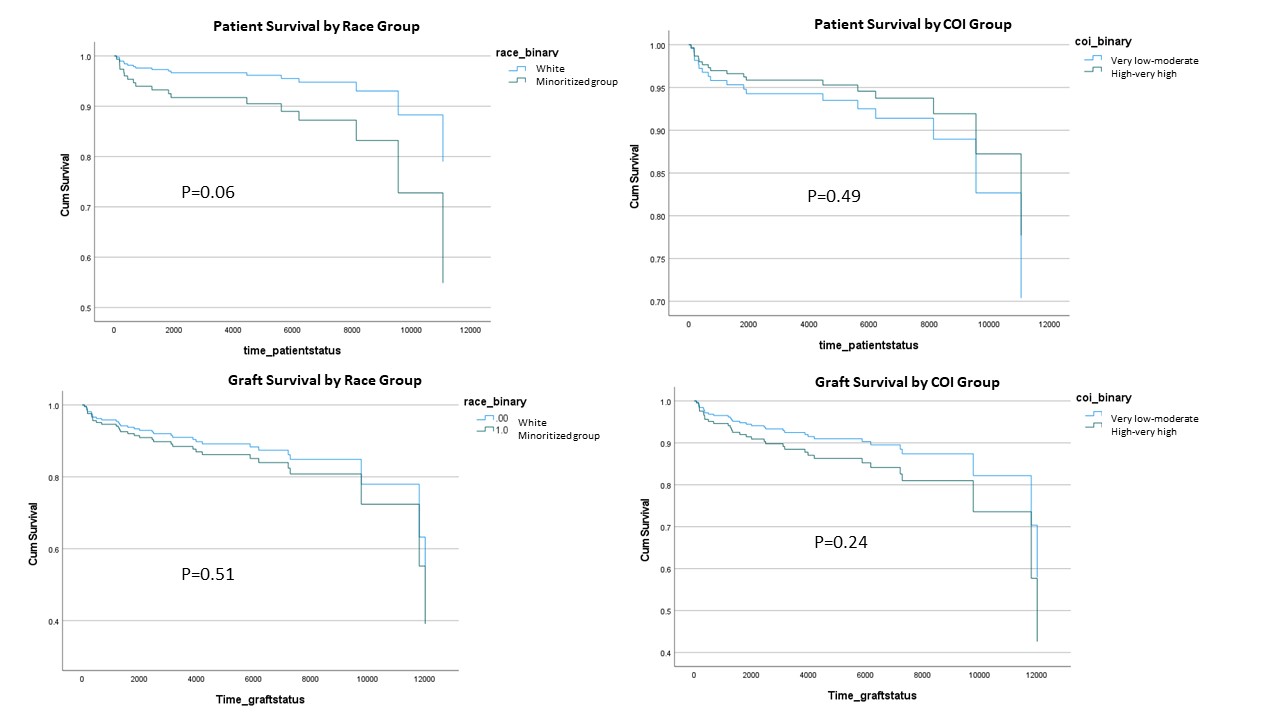
Results: 264 children were included, 182 (69.7%) of whom were White. White children were 6.6 more likely to be privately insured (95% CI:3.6-12.2, p<0.001) and 2.2 times more likely to live in an area with a high or very high COI (95% CI:1.3-3.7, p=0.005) when compared with children of minoritized groups. Among SDOH indicators, only White race was a significant predictor of living donor transplantation (multivariate OR=3.97, 95% CI=1.097-14.391, p=0.03, univariate OR=2.94, 95% CI=1.096-7.888, p=0.03). PELD/MELD score and waitlist time were similar between groups. Despite these pre-transplant disparities, race, COI classification, insurance type and distance from transplant center were not significant predictors of graft or patient survival (Figure 1).
Discussion: Despite pre-transplant disparities between White children and children of minoritized groups, SDOH factors do not significantly impact patient and graft survival. The mechanisms are not clear, but we hypothesize that smaller disparities between racial groups in the Intermountain West, or adequate social work and medical follow-up post-transplant may contribute to these outcome equities.

If you have any questions during the meeting, please go to the registration desk. Our emails will be monitored sporadically.
REGISTRATION DESK OPENING TIMES
Sunday, October 15, 16:00-18:00 Monday, October 16, 07:00-18:00 Tuesday October 17, 07:00-12:30